2026上海美术与设计统考一分一段表(含2024-2025历年)
更新:2026-1-14 8:21:59我要纠错

2026上海美术与设计统考一分一段表已经公布,以下是上海2024-2026历年美术与设计统考一分一段表,供大家参考。
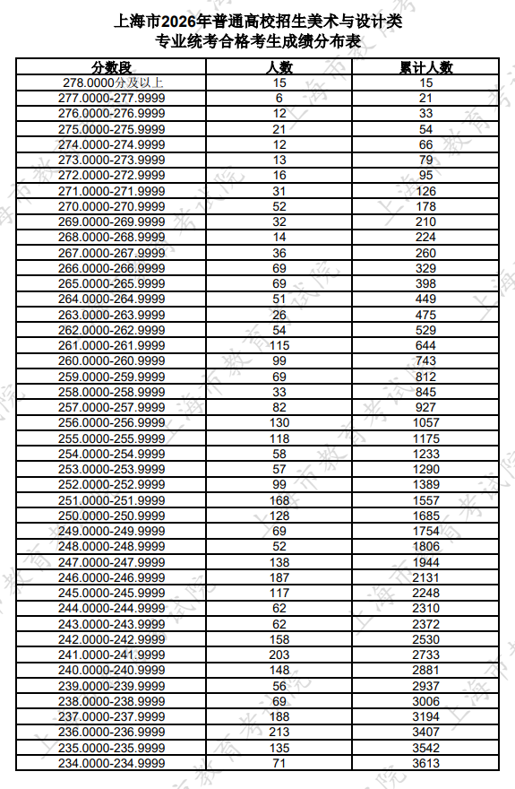
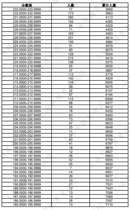
一、2026上海美术与设计类专业统考合格考生成绩分布表



二、2025上海美术与设计类专业统考合格考生成绩分布表

三、2024上海美术与设计类专业统考合格考生成绩分布表

标签:上海美术与设计统考

2026-1-14

2025-1-13

2024-5-30

2025-1-13

2025-1-13

2024-5-30

2026-1-14

2025-1-13

2025-1-13

2025-1-13