2024皖江工学院录取分数线(含2023年)
更新:2026-4-2 9:20:32我要纠错

本文为大家整理的是皖江工学院2023-2024年录取分数线,希望对大家有所帮助,如有异议,还请以各省市教育考试院和学校公布的信息为准。
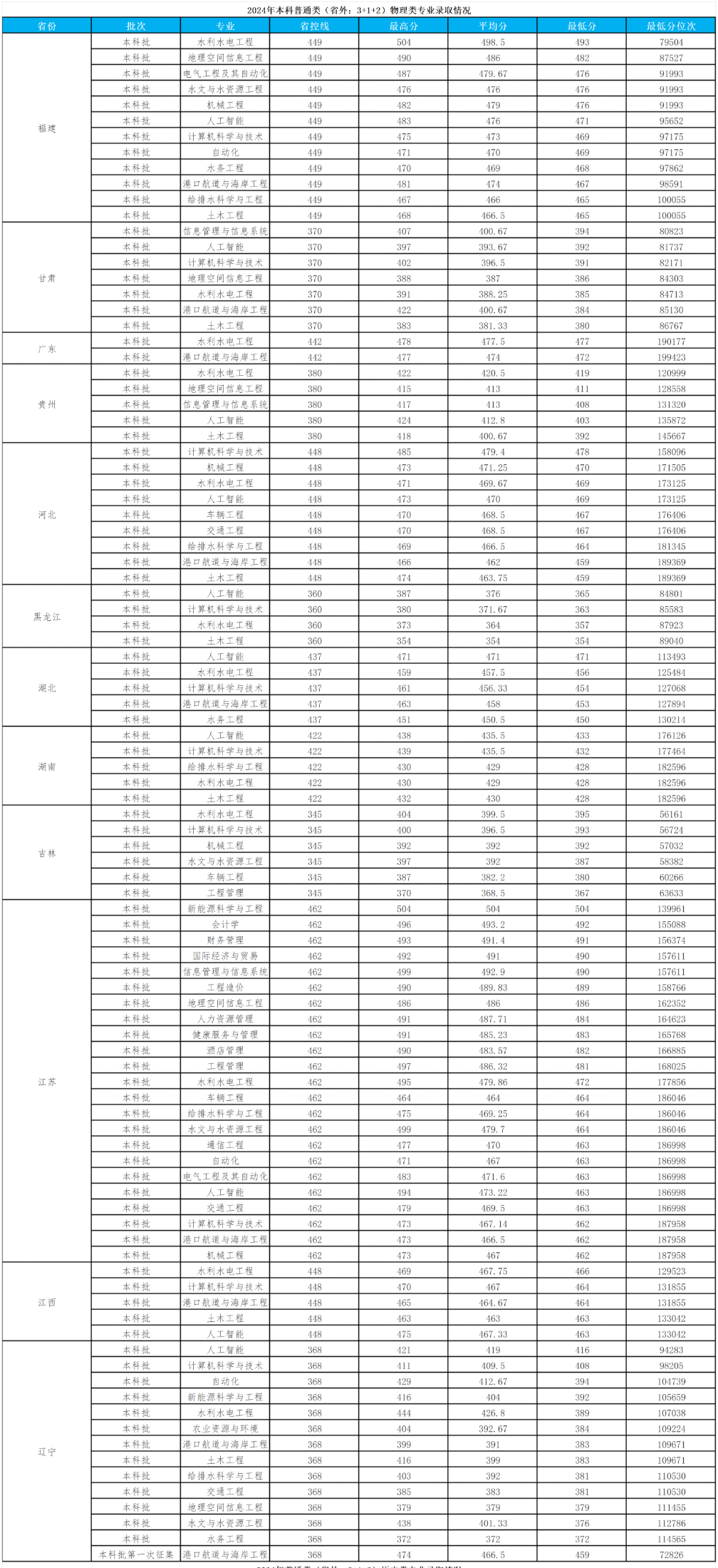
1、2024皖江工学院录取分数线【全国】



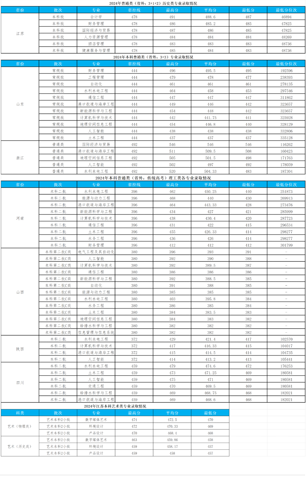
2、2023皖江工学院录取分数线【全国】
2023年皖江工学院高考录取分数线

3、皖江工学院简介
皖江工学院(Wanjiang University of Technology),坐落于安徽省马鞍山市,是2012年经教育部批准设立的拥有学士学位授予权的省属普通本科高校。
学校前身为河海大学与江苏大业投资有限公司、无锡市大业房屋建设开发有限公司合作举办的独立学院——河海大学文天学院,2008年5月7日经教育部批准设立,2012年顺利通过学士学位授予权评审,被批准为学士学位授予单位。2018年学校经国家教育部评审,成功转设为独立设置的民办本科学校,更名为皖江工学院。
标签:皖江工学院







