2026辽宁美术与设计统考一分一段表(含2024-2025历年)
更新:2026-1-9 9:07:10我要纠错

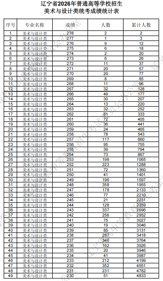
2026辽宁美术与设计统考一分一段表已经公布,以下是辽宁2024-2026历年美术与设计统考一分一段表,供大家参考。
1、2026年辽宁省普通高等学校招生美术与设计类统考成绩统计表


2、2025年辽宁省普通高等学校招生美术与设计类统考成绩统计表

3、2024年辽宁省普通高等学校招生美术与设计类统考成绩统计表

标签:辽宁美术与设计统考

2026-1-9

2025-1-20

2024-5-31

2024-5-29

2024-5-29

2025-1-7

2026-1-9

2025-1-20

2025-1-20

2025-1-20